
OpenAI का नया और धाकड़ GPT-5.4 मॉडल लॉन्च! कोडिंग से लेकर ऑफिस के काम तक सब होगा आसान
यह नया फ्लैगशिप मॉडल न केवल सोचने-समझने (Reasoning) में माहिर है, बल्कि कोडिंग और कठिन टास्क को पूरा करने में भी पुराने मॉडल्स को काफी पीछे छोड़ देता है। कंपनी ने इसे दो खास कैटेगरी- GPT-5.4 Thinking और GPT-5.4 Pro में पेश किया है।

ChatGPT-5.4 Launch: आर्टिफिशियल इंटेलिजेंस की दुनिया में दिग्गज कंपनी OpenAI ने अपना अब तक का सबसे शक्तिशाली मॉडल 'GPT-5.4' लॉन्च कर दिया है। यह नया फ्लैगशिप मॉडल न केवल सोचने-समझने (Reasoning) में माहिर है, बल्कि कोडिंग और कठिन टास्क को पूरा करने में भी पुराने मॉडल्स को काफी पीछे छोड़ देता है। कंपनी ने इसे दो खास कैटेगरी- GPT-5.4 Thinking और GPT-5.4 Pro में पेश किया है।
OpenAI के ब्लॉग पोस्ट के मुताबिक, इस नए मॉडल में GPT-5.3-Codex की कोडिंग क्षमताएं शामिल की गई हैं। यह स्प्रेडशीट्स, प्रेजेंटेशन और कानूनी दस्तावेजों जैसे प्रोफेशनल काम को बेहद सटीकता से निपटाता है। GPT-5.4 Thinking की सबसे बड़ी खूबी यह है कि यह जवाब देने से पहले अपनी 'सोचने की प्रक्रिया' यूजर को दिखाता है। इससे यूजर को यह मौका मिलता है कि अगर मॉडल गलत दिशा में जा रहा है, तो वे उसे बीच में ही सुधार सकें।

कंप्यूटर चलाने में माहिर और ज्यादा सटीक
तकनीकी मोर्चे पर GPT-5.4 पुराने मॉडल GPT-5.2 के मुकाबले कहीं ज्यादा किफायती और तेज है। यह कम टोकन्स का इस्तेमाल करके सही नतीजे तक पहुंचता है, जिससे लागत कम आती है। कंपनी का दावा है कि यह अब तक का सबसे सटीक मॉडल है, जिसमें गलतियों की गुंजाइश 18% तक कम हो गई है। खास बात यह है कि इसका API वर्जन 10 लाख टोकन का बड़ा 'कॉन्टेक्स्ट विंडो' सपोर्ट करता है। इसमें 'कंप्यूटर-यूज' क्षमता भी दी गई है, जिससे AI एजेंट खुद कंप्यूटर चलाकर अलग-अलग ऐप्स पर जटिल काम पूरे कर सकते हैं।
बेंचमार्क में बनाया रिकॉर्ड
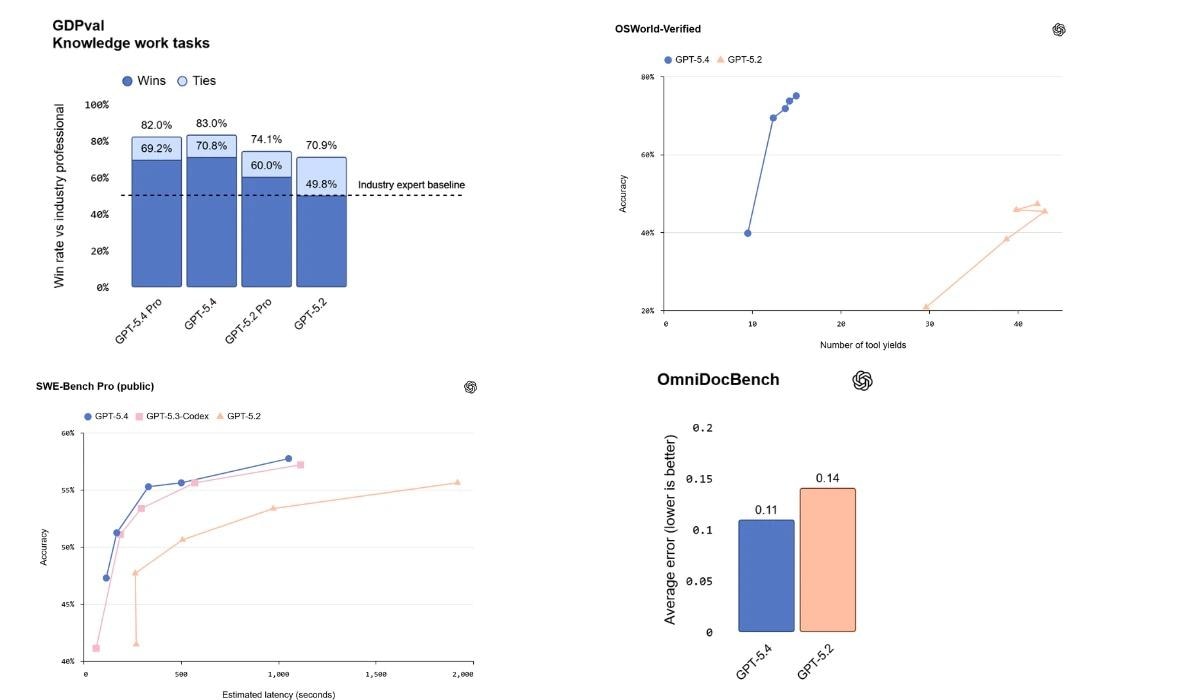
Mercor के CEO ब्रेंडन फूडी का कहना है कि GPT-5.4 लंबे समय तक चलने वाले प्रोजेक्ट्स जैसे फाइनेंशियल मॉडल और कानूनी विश्लेषण तैयार करने में बेहतरीन है। यह कंपीटिटिव मॉडल्स की तुलना में कम खर्च में बेहतर नतीजे देता है। प्रदर्शन की बात करें तो OpenAI के 'GDPval' टेस्ट में इसने 83% स्कोर किया है, जबकि पिछला मॉडल 70.9% पर था। कोडिंग के मामले में इसकी रफ्तार 1.5 गुना बढ़ गई है, जिससे डेवलपर्स बिना रुके तेजी से कोडिंग और डीबगिंग कर सकेंगे।
उपलब्धता और कीमत
यह मॉडल फिलहाल ChatGPT Plus, Team और Pro यूजर्स के लिए उपलब्ध है। पुराना GPT-5.2 Thinking मॉडल 5 जून, 2026 को रिटायर हो जाएगा, तब तक पेड यूजर्स उसका इस्तेमाल कर सकेंगे।
कीमत की बात करें तो API में GPT-5.4 के 10 लाख इनपुट टोकन के लिए 2.50 डॉलर और आउटपुट के लिए 15 डॉलर देने होंगे। वहीं, इसके हाई-परफॉर्मेंस 'Pro' वर्जन की कीमत काफी ज्यादा रखी गई है, जहाँ 10 लाख इनपुट टोकन के लिए 30 डॉलर और आउटपुट के लिए 180 डॉलर खर्च करने होंगे।

